Giocare ai videogiochi tutta l'estate non è una minaccia alla salute mentale, lo dice uno studio
Secondo una nuova ricerca, dedicarsi ai videogame tra caldo e tempo libero non mina alla salute psicofisica dei giocatori
© IGN
I videogiochi non costituiscono una minaccia allo stato psicofisico dei giocatori. Si tratta ormai di un'opinione diffusa che ha trovato fondamento in una miriade di studi, specie nel periodo della pandemia. I videogame, dunque, non fanno male alla salute mentale delle persone ma, a quanto pare, non la aiutano neanche. Secondo un nuovo studio condotto su decine di migliaia di videogiocatori, non servono affatto a smuovere la situazione.
Da diverso tempo, le autorità governative e gli organismi di sanità pubblica quali l'OMS hanno espresso preoccupazione per il potenziale di dipendenza o di danno alla salute mentale causato dalla troppa esposizione ai videogiochi.
© The Royal Society
Questo studio, pubblicato sulla rivista Royal Society Open Science, offre una delle analisi più complete del rapporto tra mondo videoludico e benessere basandosi su una ricerca precedente, condotta dallo stesso gruppo di esperti, che non aveva rilevato effetti negativi sulla salute mentale.
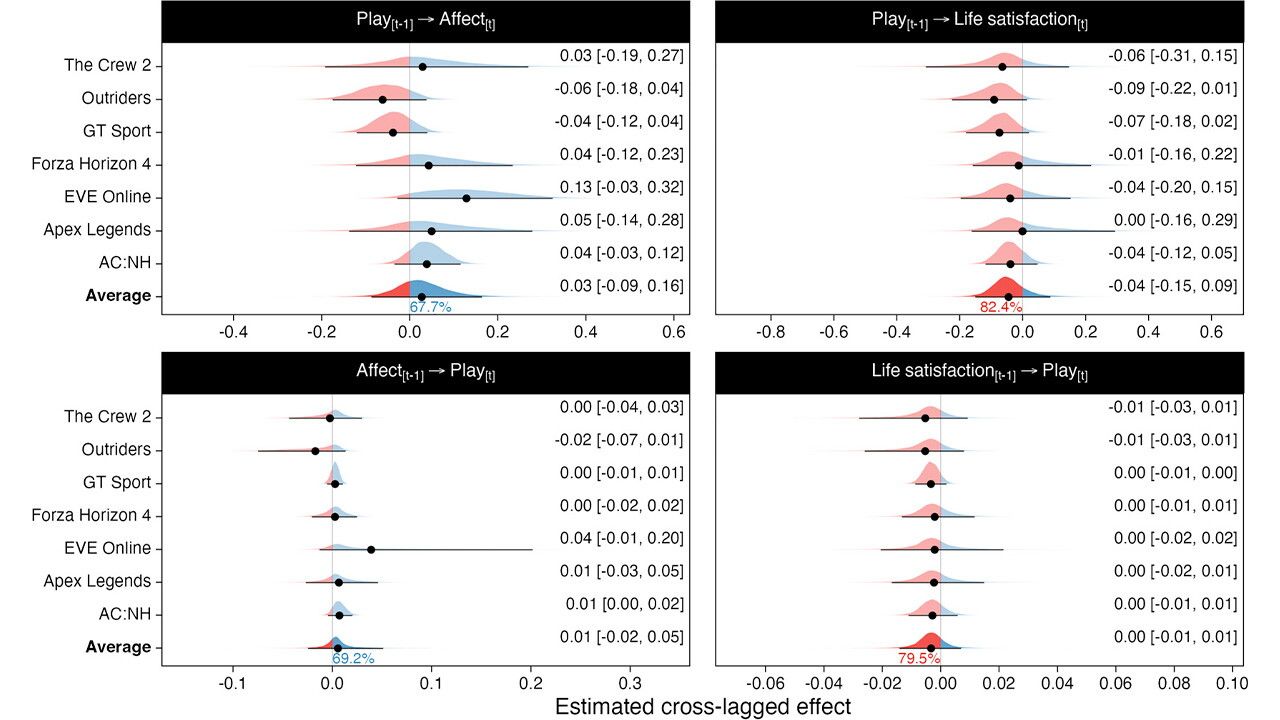
Il team di ricerca ha collaborato con diversi studi di sviluppo per reclutare quasi 39mila persone che hanno giocato a uno dei sette giochi disponibili: Animal Crossing: New Horizons, Apex Legends, Eve Online, Forza Horizon 4, Gran Turismo Sport e The Crew 2.
I game designer hanno fornito i dati di gioco dei partecipanti per sei settimane, mentre i ricercatori li hanno intervistati tre volte. Poiché l'équipe ha potuto esaminare i dati reali di gioco, non ha avuto bisogno di affidarsi a dichiarazioni aleatorie dei giocatori sulla quantità di tempo trascorso a giocare, ottenendo così una lettura più accurata.
© The Royal Society
Lo studio ha misurato il benessere utilizzando due strumenti: la scala delle esperienze positive e negative, chiedendo ai partecipanti di classificare la frequenza con cui hanno provato sentimenti come "felicità" e "paura", e la scala auto-ancorante Cantril, in cui indicare il proprio posizionamento su una scala la cui cima rappresentava il miglior stile di vita possibile.
Lo studio ha anche chiesto alle persone di partecipare al sondaggio Player Experience of Need Satisfaction, che traccia l'esperienza delle persone con giochi specifici, identificando elementi come la percezione di autonomia personale e le motivazioni a giocare. L'analisi ha rilevato che trascorrere più o meno tempo a giocare non ha avuto un impatto negativo o positivo sulle sensazioni del gruppo di studio. Al contrario, il modo in cui i partecipanti si sentivano pare non abbia avuto un grande impatto sulla quantità di tempo trascorso giocando.
© The Royal Society
Secondo gli autori, il ruolo dei videogiochi nell'alterazione del benessere emerso nella ricerca era troppo limitato per avere un impatto reale sulle sensazioni dei partecipanti. In base alla ricerca, avrebbero dovuto giocare almeno 10 ore in più al giorno rispetto al loro livello base per registrare cambiamenti significativi nel proprio benessere.
Tuttavia, i ricercatori hanno trovato alcune evidenze del fatto che le motivazioni che spingono gli individui a giocare e la loro esperienza di gioco abbiano un impatto leggermente maggiore sul loro benessere. Quando le persone giocano perché "lo vogliono", il loro benessere è migliore rispetto a quando lo fanno perché si sentono obbligate a farlo. Tuttavia, i dati sono stati troppo esigui per rendere concreta tale ipotesi.
© The Royal Society
Gli esperti hanno quindi concluso che c'è ancora molto da imparare sui modi in cui i videogiochi influenzano i sentimenti e i comportamenti delle persone. L'analisi, inoltre, ha tenuto conto solo di un numero limitato di giochi rispetto alle migliaia di offerte presenti sul mercato.
"Sappiamo che abbiamo bisogno di un numero molto maggiore di dati sui giocatori, provenienti da molte più piattaforme, per sviluppare una comprensione più profonda necessaria a creare delle policy informative e dare dei consigli concreti ai genitori e ai medici", ha dichiarato in un comunicato l'autore dello studio Andrew Przybylski, ricercatore senior presso l'Oxford Internet Institute.
La ricerca sugli effetti benefici dei videogiochi prosegue, dunque, e gli esperti sperano presto di trovare delle prove più concrete che possano avvalorare, in positivo o in negativo, le proprie posizioni.
